W1/09-0173 | Retention of dwelling & construction of additional dwelling Head No(s): 87336 | Adj To Railway Viaduct Riverside La
Submitted by via Cornwall Pl... on Thu, 12/07/2018 - 17:07.
| Reference |
W1/09-0173 |
|---|---|
| Alternative Reference | |
| Application Validated |
Mon 23 Mar 2009 |
| Address |
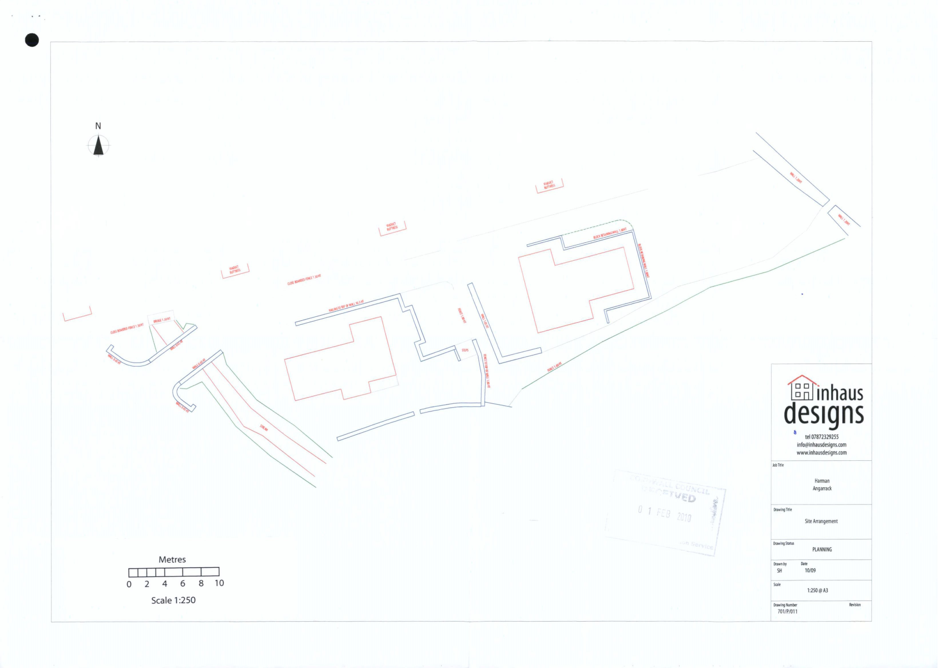
Adj To Railway Viaduct Riverside Lane Angarrack |
| Proposal |
Retention of dwelling & construction of additional dwelling |
| Status |
Decided |
| Decision |
Approved with conditions |
| Decision Issued Date |
Tue 02 Jun 2009 |
| Appeal Status |
Unknown |
| Appeal Decision |
There are 10 documents associated with this application.
There are 0 cases associated with this application.
There is 1 property associated with this application.
| Date Published | Document Type | Measure | Drawing Number | Description | View | |
|---|---|---|---|---|---|---|
| 21 Apr 2015 | Plan - (historical data) | |
|
|||
| 21 Apr 2015 | Plan - (historical data) | |
|
|||
| 21 Apr 2015 | Plan - (historical data) | |
|
|||
| 21 Apr 2015 | Plan - (historical data) | |
|
|||
| 31 Mar 2015 | Plan - (historical data) | |
|
|||
| 31 Mar 2015 | Plan - (historical data) | |
|
|||
| 31 Mar 2015 | Application Documents | |
|
|||
| 31 Mar 2015 | Plan - (historical data) | |
|
|||
| 31 Mar 2015 | Plan - (historical data) | |
|
|||
| 31 Mar 2015 | Plan - (historical data) | |
|
- Printer-friendly version
- Login or register to post comments
- Permalink
Contributions
- Angarrack Defibrillator Team (25)
- Angarrack Inn (336)
- Angarrack Methodist Chapel (3)
- Carol (15)
- Gail (1)
- GordonG (12)
- Hayle Development Group on Facebook (5)
- Hayle Harbour Authority (4)
- Hayle Town Council (5)
- louise (1)
- Lynne (111)
- Mal (1)
- MattBuckley66 (9)
- Neil (22)
- Neils Garden Care (9)
- Russell (21)
- Secretary - Christmas Lights (141)
- Steve (3)
- webmaster (5122)
Book page
Similar
- W1/01/P/0240 | Construction of six dwellings, alterations to accesses, formation of parking and associated works and installatio
- Building Control Summary | W1/08-1024 | Construction of replacement dwelling Head No(s): 61815 | 10 Riverside Angarrack
- 080720 | W1/08-1024 | Construction of replacement dwelling Head No(s): 61815 | 10 Riverside Angarrack
- Consultee comments | PA17/00288 | Application for removal of condition 2 in respect of Decision Notice PA15/01953 - 12 Back Lane
- Comments | PA17/00288 | Application for removal of condition 2 in respect of Decision Notice PA15/01953 - 12 Back Lane Angarrack
Similar across site
- W1/09-0173 | Retention of dwelling & construction of additional dwelling Head No(s): 87336 | Adj To Railway Viaduct Riverside La
- W1/01/P/0240 | Construction of six dwellings, alterations to accesses, formation of parking and associated works and installatio
- Building Control Summary | W1/08-1024 | Construction of replacement dwelling Head No(s): 61815 | 10 Riverside Angarrack
- 080720 | W1/08-1024 | Construction of replacement dwelling Head No(s): 61815 | 10 Riverside Angarrack
- Consultee comments | PA17/00288 | Application for removal of condition 2 in respect of Decision Notice PA15/01953 - 12 Back Lane






























































Recent comments
12 weeks 9 hours ago
17 weeks 11 hours ago
17 weeks 11 hours ago
32 weeks 9 hours ago
51 weeks 4 days ago
51 weeks 4 days ago
51 weeks 4 days ago
51 weeks 4 days ago
1 year 21 weeks ago
1 year 35 weeks ago